En Yucatán decenas de personas han denunciado a Gerardo José Baz Pinto, un agiotista que despoja de sus bienes a las y los ciudadanos desde hace más de 10 años. Presta en efectivo bajo el nombre de “Préstamos Yucatán”, sin pagar impuestos debido a que los pagos se realizan en efectivo. Los afectados piden ayuda a la presidenta Claudia Sheinbaum Pardo.
El prestamista se promociona en Facebook, donde la persona necesitada le envía un mensaje porque no responde a las llamadas. https://www.facebook.com/prestamosenefectivoyucatan/
“Le envías el mensaje solicitando información, si continuas con el proceso te dan una cita acudes a una casa que tiene en la Colonia Pinos, porque no es oficina, no tiene logo ni nombre, entrando te hacen firmar un libro que está en blanco, te da la información y te pide un comprobante si estás de acuerdo con los intereses firmas un contrato por el monto que te va a prestar y te suma otro cargo que según es para papeleo”.
Ciudadanos afectados hicieron llegar una carta a Bajo Palabra+mx donde denuncian la forma de operar de este agiotista que despoja de sus casas a deudores en complicidad con notarios públicos y jueces. Las familias afectadas piden ayuda a la presidenta Claudia Sheinbaum para que se investigue y se termine con el imperio de abuso de este prestamista.
Explican que después de “recibir el préstamo, se comienza a pagar cada 15 días, pero no se abona a capital sino que son intereses. Después de 6 meses se empieza a abonar al capital. Además, por cada día que te atrases te cobra $95.00 pesos diarios y llega hasta $200.00 pesos”.
Gerardo José Baz Pinto nunca informa que se va a gravar la propiedad del que pidió el préstamo. “Pero con la hoja que firmaste en blanco y con la ayuda de un notario realizan la autorización para hacer el gravamen, no te avisa ni hay notificaciones hasta que un día te llega el aviso de que te van embargar”, señalan.
Este agiotista tiene además otra forma de operar: “hay personas que ya pagaron la deuda pero no le cancela el gravamen, y de ahí le inician una demanda en su contra. Su esposa es la Juez que ha llevado sus casos; su hermano es grafólogo, el cual da legalidad de la firma en pagares que nunca firmó la gente; este Sr. en su momento fue Director del Registro Público y sabe cómo funciona todo.
Un ejemplo claro
Una de las personas que denuncia narra su experiencia y dice que solicito un préstamo de diez mil pesos pero según por “el papeleo” y temas de “cobranza”, llegó a 15 mil pesos lo que se debería pagar. Después de un año de estar pagando intereses, dejaron de pagar el préstamo autorizado en 2020.
Sin embargo, dice que en julio 2023, “revisando la página de Registro Público, nuestra propiedad tiene un aviso de hipoteca y empezamos a investigar y así dimos con que el demandante es el agiotista Gerardo José Baz Pinto.
Explican que intentaron llegar a un arreglo pero no lo aceptó y en septiembre de 2024 quería que se le pagara 258 mil pesos, casi lo que costó la casa que están pagando por medio del Infonavit. “este señor nos dice que si no tienes para pagar traspase la casa y ahí termina la deuda”.
El ciudadano denunciante dice que pidió ayuda a un abogado pero que éste le dijo: “mejor págale para que no pierdas la casa”. Dice que “este señor está bien conectado con el gobernador Mauricio Vila, en ese entonces, su esposa es Juez y su hermano es grafólogo”.
La persona afectada dice que trató poner “una denuncia en la fiscalía y no me hicieron caso, hable al Infonavit y pregunte si se podía quedar con la casa y me dicen que los traspaso ya no eran legales gracias a las nuevas políticas, sin embargo, la deuda sigue creciendo y cuando termines de pagar la casa y liberes las escrituras entonces si se la puede quedar”.
Dice que en el fraccionamiento donde vive hay más de 10 casas que tienen aviso de hipoteca a su nombre”.
El oportunismo del diputado Bayardo
El 07 de mayo de 2025, el diputado del Partido Verde, Bayardo Ojeda Marrufo dijo que ayudaría a las familias que tene problemas por los abusos del agiotsta Gerardo José Baz Pinto, pero su ayuda solo consistió en tomarse la foto con los afectados y en una exposición tibia en el Congreso del estado.
Dicen que citó a los afectados en las oficinas de Baz Pinto donde hizo una clausura simbólica “y como a los 10 minutos nos dice que nos movamos al Palacio de Gobierno y nos trasladamos en coche otros en camión porque según él nos iba recibir el gobernador Huacho y al final fue su asistente y comentaron que nos apoyarían a cancelar las hipotecas, para nos enviaron un formato que llenamos y anexamos comprobantes de domicilio, acta de nacimiento, INE del afectado y 3 testigo porque según iban hacer una demanda colectiva”.




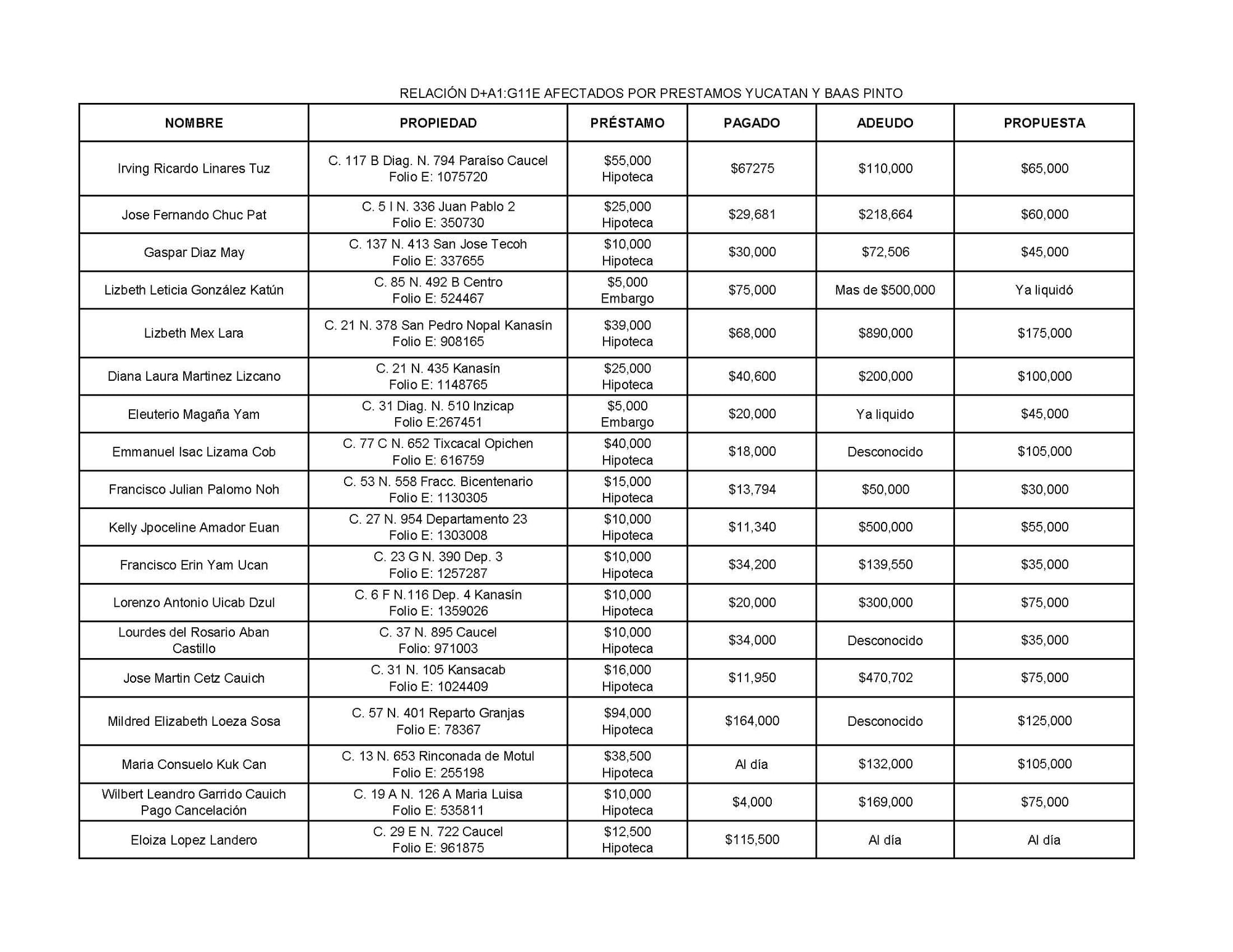
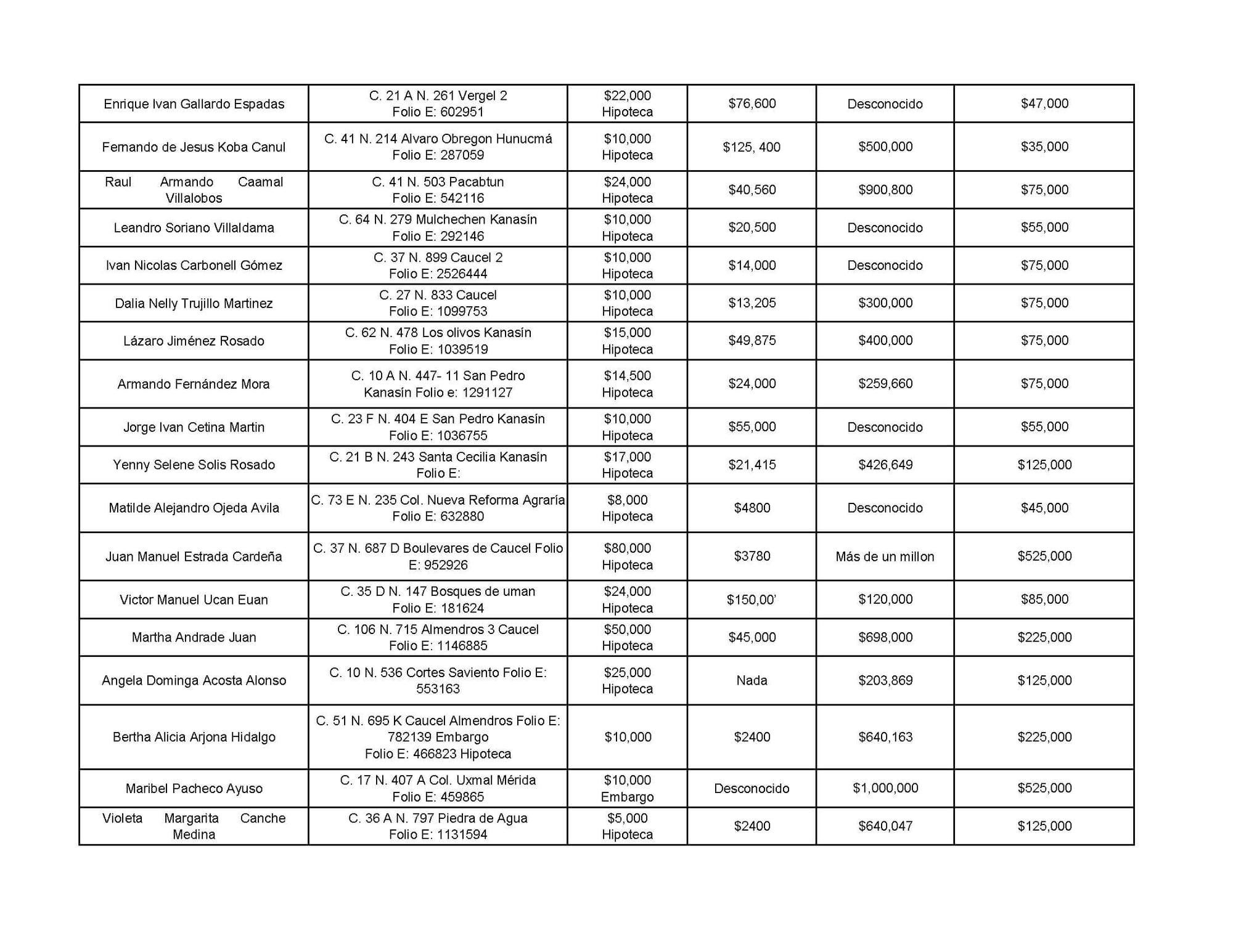
Lista de ciudadanos afectados por el agiotista Baz Pinto.
Narran que luego de entregar ese formato “nos dice que le teníamos que dar al abogado que va a llevar el caso 5 mil 300 pesos para que se realice la cancelación de la hipoteca y nos envía otro formato y aparte nos pide llevarle el documento firmado a su casa, donde llegaron más de 100 persona”. Dicen que entonces llegó el diputado Bayardo Ojeda, se tomó la foto y se fue. En el lugar se quedó su abogado quien les dijo que solo iban apoyar a los que solo tenían aviso de hipoteca a los demás no.
Cuentan que al ver el engaño, la gente se retiró enojada, “los que nos quedamos llegamos a las 11:00 am y nos quitamos a las 5:00 de la tarde, esperamos horas para ser atendidos bajo una carpa y al final nos dicen que cuánto estamos dispuesto a pagarle a Baz Pinto que van a negociar”.
¿Entonces cuál es la ayuda, si me están solicitando 5 mil 300 para la cancelación de la hipoteca, cual es la garantía de que no se vuelva a grabar el predio?, se preguntan.
Hasta el momento –señalan- no existe la demanda colectiva que prometió el diputado, y el agiotista Baz Pinto continúa accionando impunemente. Los que ya tienen un embargo van a perder su patrimonio y los que aún deben la casa en el Infonavit, está esperando a que la deuda baje para que compre la propiedad.
Para sustentar su acusación, los quejosos anexan los folios electrónicos de las personas que cuenta con un gravamen el cual se puede confirmar en el registro público de la propiedad de Yucatán.
Asimismo, anexan copia del contrato, de los recibos de pagos y todo lo que han recabado. Las y los afectados piden el apoyo de la presidenta Claudia Sheinbaum para poner fin al imperio de corrupción e impunidad del prestamista Baz Pinto.
¿La pregunta es por qué el gobierno tolera el agiotismo y el despojo de propiedades a partir de préstamos ilegales? ¿Habrá alguna investigación para atender este caso donde según las pruebas hay decenas de familias afectadas?
Página para ver juicios promovidos por Baz Pinto.
Poder JudicialVirtual, lista de acuerdos
https://www.poderjudicialvirtual.com
FOLIOS ELECTRÓNICOS
1036755, 1185322, 1020849, 1224741, 287059, 632880, 956516, 1099753, 1058659, 1291127.
Gerardo José Baz Pinto (promovente Exp: 85/2024
RESUMEN: El Expediente 85/2024 en Materia Mercantil y de tipo Pagare fue promovido por Gerardo José Baz Pinto (Promovente) en el Juzgado Segundo Mercantil.
Lista de notarios y escribanos al servicio de Baz Pinto
Jorge Hidalgo Aguilar, notaría 7.
Concepción del Socorro Contreras Moguel, notaría 30.
Shanue Alejandro Patrón, escribano número 20.
David Alejandro Guzmán Vega, escribano 14.